您的當前位置:首頁 > 產品知識 > 更多產品知識 > 礦石分級技術——顆粒在運動介質中的自由沉降
作者:紅星機器 發布時間:2017-06-25 16:51:30
礦石分級技術——顆粒在運動介質中的自由沉降速度的計算方法。
在勻速垂直上升介質流中,顆粒自由沉降的末速度va為:
![]()
式中 v0———顆粒在靜止介質中自由沉降的末速度;
ua———上升介質流速度。
當v0>ua時,va為正值,顆粒向下沉降;在v0<ua時,顆粒向上運動;在v0=ua時,v0=0,顆粒呈懸浮狀態。
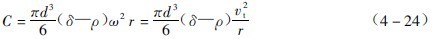
在旋轉運動的介質流中,處于其中的礦粒要受到離心力C 的作用,其值為:
![]()
式中 C———離心力,N;
w———顆粒隨介質作回轉運動的角速度,rad/s;
r———顆粒的回轉半徑,m;
v1———顆粒回轉的切線速度,m/s。
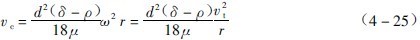
在離心力作用下,顆粒將沿著離心力方向運動,此時,顆粒要受到介質阻力。當離力與介質阻力相平衡時,顆粒將以勻速一直沿著離力方向沉降。若在回轉半徑方向上,介質繞顆粒作層流運動,或Re
0.5,則離心沉降速度vc為:
![]()
如介質繞顆粒流過為其它流態,或Re>0.5, 中相應的介質阻力R,在R=C時,導出各情況下的離心沉降速度。
本篇內容于 2017-06-25 16:51:30 已補充更新上一篇:礫磨的給礦及礫磨介質
如果您想了解我們的產品,可以隨時撥打我公司的銷售熱線或點擊咨詢!![]()
推薦閱讀
TOP169鄂破機價格及型號參數鄂破機
TOP257鄂破機一小時能產多少噸物料鄂破機
TOP3時產1000噸石料生產線設備有哪些?多少錢?石料生產線價格
TOP4140圓錐破時產多少石子圓錐破 圓錐破碎機
TOP5小型碎沙機多少錢一臺?碎石機
TOP6一套碎石機大概需要多少錢碎石機
TOP7生產雷蒙磨粉機(雷蒙磨)的廠家磨粉機
TOP869破碎機一小時處理多少立方石子?破碎機 69顎式破碎機
TOP91060顎破型號有哪些?什么價?顎破 顎式破碎機
TOP10每小時產200噸的石子破碎機多少錢一臺?破碎機
TOP11時產500噸石子生產線配置方案_廠家報價生產線
TOP12銷量較好的雷蒙磨粉機型號有哪些雷蒙磨粉機
換一換 ![]()
想讓資深工程師為您設計生產方案?想獲取全套設備優惠報價單?請留言,專業經理即刻開始為您一對一服務!(不用擔心信息泄露,我們將為客戶提供信息保密服務!)
來廠考察即可獲取資深工程師為您設計方案
多機型現貨可選,簽訂合同,2天內發出
售后團隊親臨現場,指導設備安裝、試車,完成交付
跟蹤砂場運營情況,提供生產運營指導,保障砂場快速盈利
河南紅星礦山機器有限公司 總部地址:中國鄭州高新區紅松路梧桐街交叉口
工程師免費設計方案已有162位獲得心儀的方案
算一算 搭配一條合適的生產線需要多少錢?
點擊獲取報價